Molecular Orbital Theory (MOT)
MOT put forward by Hund & Muliken, which can be applied to explain the properties, which the old VBT(Valence bond theory) was unable to explain.
Characteristics of Molecular Orbitals
1. Molecular orbital formed by overlapping of atomic orbital of same energy.
2. Number of molecular orbital formed = number of atomic orbitals involved in overlapping.
3. Half of the molecular orbital have lower energy are called Bonding molecular orbital.
4. Half are of higher energy – termed as Antibonding molecular orbital.
5. Electronic configuration in various molecular orbital are governed by same three rules.
(1) Aufbau’s rule (2) Hund’s rule (3) Pauli’s exclusion principle
6. Wave function for bonding molecular orbital is ![]()
7. Wave function for antibonding molecular orbital is ![]()
8. If Ψ2 is charge density in orbital, then squaring we get,
i.e. the area
increases by
This represents that larger overlap of atomic orbital, greater will be charge density between the nuclei & hence more stable is the bond. (Additive property of wave) or bonding molecular orbital.
9. For antiboding molecular orbital:-
This is termed as subtraction of orbital or antibonding molecular orbital.
i.e. the area decreased by – . This represents the smaller extent of overlapping and hence bond will be less stable.
Comparison of Bonding molecular orbital & Antibonding molecular orbital:
Bonding molecular orbital (BMO)
1. Bonding MO is formed as a result of the linear combination of AO when their wave function are added
2. Generally it does not have nodal plane.
3. Electron density increases between two nuclei resulting attraction between two atoms.
4. Energy of BMO is less, hence stable.
5. Electron placed in a BMO stabilises a molecule.
Antibonding molecular orbital (ABMO)
1. ABMO is result of linear combination of AO when their wave function are subtracted – ![]()
2. It always have a nodal plane between two nuclei of bonded atom.
3. Electron density decreases in between two nuclei, leads to repulsion between two atoms.
4. Energy of ABMO is high.
5. Electron placed in the ABMO destabilises the molecule.
Notation of molecular orbitals
As atomic orbitals are known by letters s. p, d and f depending on their shapes. Similarly for molecular orbital
are used for different shapes of electron cloud.
Shapes of Molecular Orbitals (I.C.A.O. Method)
( σ molecular orbital) :- It is formed by two ways –
(a) Combination of s-orbitals –
σ * 1s have one nodal plane
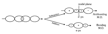
(b) End on overlapping of p-orbitals (Linearly):-
σ * px have one nodal plane
(B) π (pi) molecular orbitals:-
Positive sign , represent maximum probability finding of electrons.
Energy level diagram of molecular orbital
(a) Energy level diagram for O2, F2, Ne2 (Beyond N2)
On the basis of Aufbau’s principal, increasing order of energies of various molecular orbitals is :-
(b) Energy level diagram for B2, C2 and N2 molecules (upto N2)
Causes of exceptional behaviour of molecular orbital in B2, C2 and N2 :-
Energy of 2s and 2pz atomic orbitals lie nearly close to each other. Due to this the interaction between them is quite large.
This results in loss of energy by σ 2s and σ * 2s and thus σ 2s and σ *2s becomes more stable at the cost of σ 2px and σ* 2px which gets unstablised (higher energy).
Electronic configuration of molecules and their related properties:-
Rules:
(i) Count the number of electrons present in two atoms and then fill in the appropriate energy level diagram according to Aufbau rule.
(ii) The pairing in π 2px and π 2py or π *2px and π *2py will take place only when each molecular orbital of identical energy has one electron.



